π是数学中至关重要的一个数,相信大家都知道圆周率的含义(圆的周长与直径的比值),但是大家知道圆周率的值是如何求出的吗?你知道利用家中常见的针或者小米,也能计算圆周率吗?
古典的圆周率求法
古人在很久以前便意识到了圆的周长与直径的比值是一个定值,并且对这个值进行了粗略的测量,测量方法是直接对圆的周长与直径分别测量之后作比。
但因古代所绘圆形并不是完美的圆,且测量精度不够,所以用这种方法得出的值有较大的误差,唐朝杨炯所的《浑天赋》一文中写到:“周三径一,远近乖於辰极;东井南箕,曲直殊於河汉。”可见,古代人们认为
。
其实,早在三国时期,中国的数学家刘徽便发明了一种精确计算圆周率的方法:割圆术。这也是中国数学史上第一个从数学上计算圆周率到任意精确度的迭代算法。

图1 割圆术原理:绿色为六边形,蓝色为十二边形,可以看到十二边形面积与圆面积更接近,若边数继续增加,其面积与圆形就更接近(图片来源:wikipedia)
刘徽割圆术是建立在圆面积计算公式
的基础之上的。在割圆术中,刘徽应用了极限的思想,他认为像图1一样将圆分割成多边形,分割得越细,多边形的边数越多,多边形的面积就和圆面积越来越接近,直到最后没有差别。之后再对多边形的面积进行计算,我们便可以得到
从而得出π的值。
南北朝时期著名数学家祖冲之用刘徽割圆术计算11次,分割圆为12 288边形,得圆周率
,是此后近千年世界上最准确的圆周率数值。
这些圆周率求法,够有趣
除了利用几何方法外,圆周率也有一些很有趣的求法,比如像前文中所说的,利用针或者小米来计算圆周率。
18世纪,数学家布丰提出了如下问题:假设我们有一个以平行且等距木纹铺成的地板(如图2),现在随意抛一支长度比木纹之间距离小的针,求针和其中一条木纹相交的几率。这就是布丰投针问题。

图2 布丰投针问题(图片来源:wikipedia)
布丰投针答案的得出需要一定的概率论和微积分知识,本文不详细叙述推导过程。如果针长度为,平行线之间的长度为
且
,我们可以得到针和纹路相交的概率P为:
。
在实际投针过程中,如果我们抛n次针,其中有h只与纹路相交,那么此时
。这时候,我们便可以知道
,实际抛针数越多,计算出来的π就越精确。
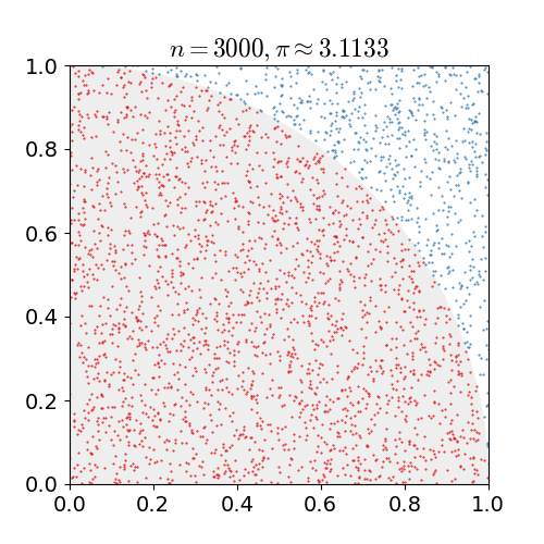
由于这个方法求π值需要投掷很多次针,可能会有一定的危险。所以,接下来我给大家介绍一种利用一张纸和小米便能够完成的0危险的计算π的方法——利用圆面积公式的蒙特卡洛方法。
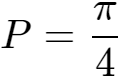
相信聪明的读者已经给出这个问题的答案了,是四分之一圆的面积比正方形的面积,也就是
。如果我们投掷了n个点,其中有h个在四分之一圆中,那么我们便可以知道
。

图3 随机投掷点估算π值(图片来源:wikipedia-nicoguaro)
不过想要获得π的足够精准的值,我们投掷的次数n需要很大,所以这种实验一般在计算机上进行,如果我们利用小米与纸张来进行这个实验的话,可能会需要花费很长事件来对小米进行计数了(当然对我们的眼力也是一个挑战)。
圆周率π,无处不在
π在数学中有着极为重要的意义,而不是仅仅用来计算圆的面积。有很多时候,会在你意想不到的问题中突然出现。比如数学中一个知名问题:巴塞尔问题。
所谓巴塞尔问题便是求下级数的和:
。这个问题首先由皮耶特罗·门戈利在1644年提出,由大数学家欧拉在1735年解决。人们可以比较轻松的演算出这个级数的和大约等于1.644934。
数学家们都没有想到过这个级数会和π有什么关系。但是,欧拉在1735年给出的证明指出,该级数的和为
。这让数学界大跌眼镜,欧拉也因此声名大噪。该级数后来被黎曼所推广,定义了黎曼ζ函数,这个函数便是数学界最大难题之一“黎曼猜想”的本体。
现代的圆周率求法
看完上一节,可能有些读者想到了一点,既然
那我们可不可以利用这个式子来计算π呢?毕竟计算自然数平方的倒数和看上去可比割圆省力,也比投针、扔小米靠谱。这个问题的答案自然是可以,现在对于π的计算都是应用级数法来解决的。
但是,利用级数计算π的效果并不好,算到几百项π的精度还没有祖冲之来得高。这时,一个神人的出现改变了这个现象,他就是数学鬼才:斯里尼瓦瑟·拉马努金。
他惯以直觉(或跳步或称之为数感)导出公式,不喜欢做证明,而他的理论在事后往往被证明是对的(学生朋友们不要尝试学习他,这样考试是不给分的)。
拉马努金对于数学界有着很大的贡献,然而可惜的是在32岁英年早逝。他的早逝和20岁早逝的伽罗瓦以及26岁早逝的阿贝尔一样,是数学界的重大损失。为什么说他是数学鬼才呢?让我们看他自称“梦到的”几个公式吧。



![]()
图4 一些拉马努金给出的公式
在拉马努金的基础上,数学家提出了现在计算圆周率的常用公式:楚德诺夫斯基公式,利用这个公式,计算一项便能够给出π的十几项。现在数学家已经利用这个公式算出了π后的62.8万亿位。

图5 楚德诺夫斯基公式
除此之外,还有一些很有趣的计算圆周率的公式,比如贝利-波尔温-普劳夫公式(BBP公式),它可以计算圆周率在16进制下的任意位而不用计算前面的位,这让合作计算圆周率成为了可能。

图6 BBP公式
π可以算尽吗
从古至今,数学家们都期望着π会有一些特殊的性质,比如被算尽、在某一位后循环,或者被表示成为一些更为简单的代数式。
然而,这个希望却被我们前文中提到的伽罗瓦所创立的群论狠狠的击碎了,这个理论说明π是一个超越数,也就是说π不是任何代数方程的根,其不能被表达为长度有限的代数数组成的代数式的形式,我们只能用上文中那种无穷级数或者积分来精准表示π的值。
不过数学界对于π有了新的猜想,他们认为π是一个“正规数”,也就是说每一个数在π中出现的概率是均等的,这个猜想没有被证明。
但是,计算机科学家通过穷举法,证明了π中含有所有的8位数,这意味着我们的生日、我们的毕业典礼、我们的结婚纪念日……一切的日期都会在π中出现,不如现在就去查查自己的生日在π中第几位?
我们有必要了解π吗
现在的圆周率计算工作其实已经大大的超出了实用的范围,利用几十位的圆周率计算与冥王星轨道半径相等的圆的周长的误差已经小于一个原子核的尺度了。
目前对于圆周率的计算主要是为了检验超级计算机的计算能力。与寻找梅森素数、孪生素数一样,对于圆周率的计算是一个超级计算机必须经历的“大考”。不过,即使是算力再强的计算机,也不能完全计算π,π中仍然隐藏着无穷的秘密,等待着人类前去探索。
或许未来的某一天,人类可以自豪的告慰刘徽、祖冲之、欧拉、拉马努金等诸多先贤:“我们已经完全了解π了”。
出品:科普中国
作者:饭堂科普
监制:中国科普博览
